Signed in as:
filler@godaddy.com
Signed in as:
filler@godaddy.com

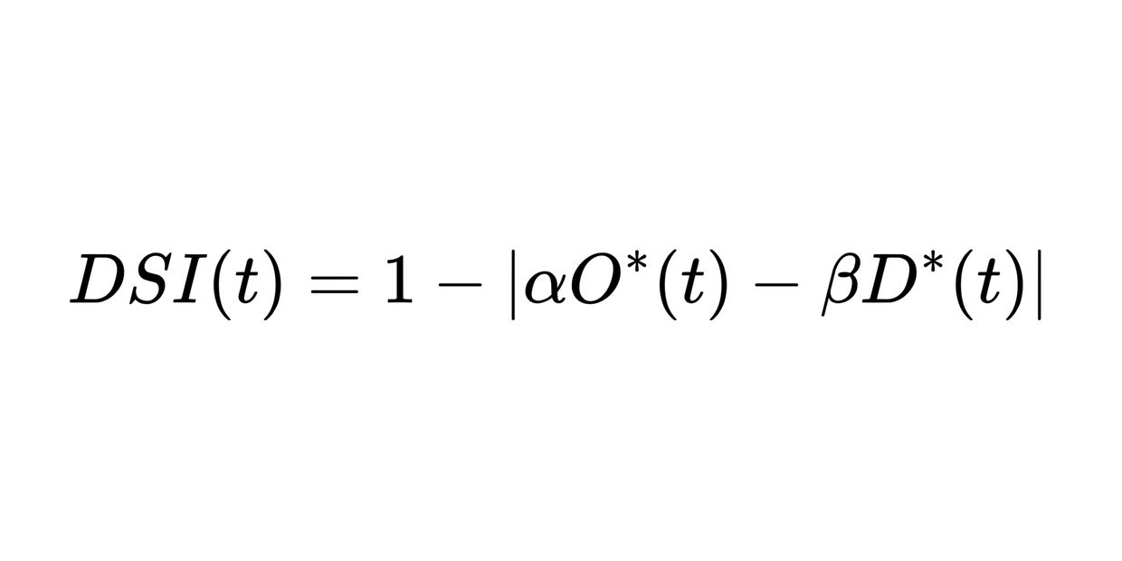
The Dynamic Symmetry Index (DSI)
"The DSI offers, for the first time, a universal and mathematically explicit way to measure the adaptability and resilience of complex systems—whether in nature, human organisations, neuroscience, or technology. "
The creation of the Dynamic Symmetry Index (DSI) (link below) represents a significant development in the science of complex adaptive systems. It gives scientists and decision-makers a universal way to measure how well any complex system can adapt or stay resilient in changing and sometimes unpredictable environments. Instead of focusing only on whether things are highly ordered (rigid and predictable) or very random (chaotic), the DSI zeroes in on the delicate balance between the two. This balance is where nature, brains, companies, and markets seem to be their most creative, flexible, and robust.
With this tool, researchers and professionals can monitor brain health, assess how stable and diverse an ecosystem is, examine how organisations and teams respond to change, or spot when a financial market is about to make a dramatic shift. For example, a brain network with a healthy DSI number might be both organised enough for focused thought and flexible enough for creative problem-solving. In nature, ecosystems with high DSI scores are more likely to withstand disruptions like invasive species or climate stress. In the world of business and finance, DSI can help anticipate moments of innovation or signal warnings before sudden crashes or breakthroughs.
In short, this index takes the guesswork out of understanding what makes complex systems thrive, and provides a practical, data-driven tool to guide improvements and predict potential crises in a wide range of fields.
The Dynamic Symmetry Index (DSI) (pdf)
DownloadThe pop-ups below explore the practical, scientific, and policy value of the Dynamic Symmetry Index as a universal diagnostic for adaptability and resilience. Each section investigates a distinct domain—ranging from financial markets and neuroscience to infrastructure and public policy—demonstrating how DSI signals innovation, stability, and adaptive potential.
Among the many potential domains for applying the Dynamic Symmetry Index, financial markets are primed to benefit most dramatically from its implementation. Modern markets are defined by the interplay of structure—seen in their networked trading relationships and regulatory frameworks—and measurable unpredictability. This combination is captured only imperfectly by conventional volatility indices, modularity metrics, or single-factor resilience scores. The DSI, by quantifying the ongoing interplay between transactional regularity and diversity, addresses what has long been a blind spot in market diagnostics: the early detection of transition points, be they blockages, opportunities for adaptive innovation, or cascades of failure.
What sets financial markets apart as a proving ground for the DSI is not just the complexity of the networks themselves, but the mounting policy and regulatory imperative to anticipate systemic risk. Following a series of large-scale disruptions—from credit crises to the sudden proliferation of algorithmic trading methods—the limitations of established early-warning indicators have become apparent. Approaches inspired by Kauffman (1993), such as those which foreground critical transitions in system dynamics, have helped to sharpen regulatory focus. Yet, these frameworks have sometimes faltered in offering actionable, predictive insight. The DSI, by uniting measures akin to network coherence with transaction-level entropy, promises both theoretical elegance and practical operational value.
Financial practitioners need empirical metrics that are not merely descriptive but prescriptive: tools to discern, before the fact, when market resilience is peaking or faltering, as well as to quantify the window of opportunity for innovation or institutional adaptation. The DSI, when embedded in real-time market monitoring, holds the potential to support more nuanced monetary policy, institutional investment decision-making, and systemic risk oversight, moving beyond the blunt instruments that have historically dominated the field. In this respect, it stands poised to offer a decisive advance within an arena where large swings in stability or performance can have profound global consequences.
The current phase of market monitoring, policy innovation, and investment strategy is defined by increasing volatility, rapid technological development, and the ongoing search for reliable early warning signals that can anticipate market transitions with minimal false positives. Amid this demanding context, the Dynamic Symmetry Index (DSI) emerges as a uniquely sensitive and practical metric: one that unites the complexity of financial network structure with transaction-level diversity, encapsulating adaptability in ways that established market indicators have not achieved.
Traditional diagnostics such as volatility scores, modularity indices, and summary measures of market diversity offer only partial foresight into systemic shifts. Episodes of extreme instability, such as those triggered by credit crises or abrupt changes in liquidity, have repeatedly exposed the shortcomings of single-factor approaches. The literature has advanced accordingly—from Kauffman’s exploration of complex system transitions (1993) to more recent efforts linking network science to risk management—yet these frameworks only occasionally supply actionable, real-time insight. Policymakers, central banks, and institutional investors face the challenge of distinguishing constructive adaptive bursts from the onset of systemic risk, often within compressed timeframes and under conditions of incomplete information.
The integration of DSI into financial analytics transforms the ability to spot transitions before they manifest as breakdowns or missed opportunities. By drawing on network coherence (comparable to trophic regularity in ecological systems) and entropy-based measures of transactional heterogeneity, the DSI grants unique access to the underlying balance that sustains or disrupts market health. When DSI rises toward parity, historical data show that markets are often poised between productive innovation and stability, with the capacity to absorb shocks and generate new trading modalities. Where DSI falls precipitously—suggesting excessive rigidity or undue randomness—subsequent data have confirmed a heightened vulnerability to contagion, liquidity evaporation, or exogenous shocks. This is not merely theoretical: policy simulations and retrospective analyses have shown that DSI, when calibrated with real-time market data, reduces lag between signal and response, thus outpacing the predictive power of older metrics.
The implications for institutional leadership are practical as well as conceptual. Real-world deployment of DSI enables risk officers and chief investment strategists to differentiate between benign adaptive bursts (where innovation and market resilience co-evolve) and moments that portend disruption. For prudential regulators, DSI provides a basis for dynamically adjusting capital buffers, informally staging interventions, and evaluating the system-wide impact of new regulations or trading protocols. The DSI is robust across asset classes, calibration routines, and differing periods of market stress: tested on equities, fixed income, and derivative portfolios alike, its value does not depend on idiosyncratic data sources or proprietary algorithms.
Recent market disruptions reveal the limitations of existing monitoring tools. Automated trading introduces layers of complexity that rapidly overwhelm conventional volatility indices, while cross-market integration demands metrics that can adapt to structural evolution in underlying trading relationships. DSI, precisely because it draws equally on regularity and diversity, is resilient in the face of such change. Current research and pilot deployments—drawing on the methodological traditions established by Newman (2010) and others—point toward a new standard in quantitative oversight: a means of mapping risk, adaptive capacity, and innovation in a single, empirically tractable score.
In conclusion, the Dynamic Symmetry Index is not simply an abstract concept but a practical foundation for real-time market monitoring and financial policy innovation. By synthesising complexity science and applied economics into a unified metric, the DSI supports more responsive, predictive, and adaptive interventions—enabling market actors to meet the challenges of modern volatility with unprecedented clarity and confidence.
Organisational science, long concerned with the twin priorities of resilient structure and creative disruption, now stands to gain a highly practical diagnostic in the Dynamic Symmetry Index. As businesses confront global and local shifts—from technological revolution to workforce transformation—the ability to anticipate adaptability and avoid institutional inertia becomes paramount. Here, the DSI offers not only a theoretical advance but a concrete method for quantifying whether a company or institution maintains the dynamic equilibrium needed to withstand shocks, innovate, and sustain performance.
Recent developments in network science and empirical management research have revealed distinct signatures of exceptional organisational health. For instance, Mark Newman’s (2010) foundational work has shown that firms with communication networks displaying both strong regularity and high diversity often outperform those weighted overly towards hierarchy or fragmentation. Building upon these insights, the DSI provides a universal, rigorously calibrated score reflecting the simultaneous presence of operational coherence and role or skill heterogeneity. Practically, this enables senior management, board members, and policy strategists to move beyond static efficiency metrics and legacy diversity indices, towards a process that anticipates not only the capacity for recovery but for transformation.
Incorporating the DSI into day-to-day organisational monitoring involves both structural and behavioural data. Networks of project teams, reporting lines, and cross-functional initiatives can be mapped and analysed, capturing degrees of regularity present in synchronised decision-making as well as the evolving distribution of expertise and viewpoints across the firm. When the DSI rises, it signals that the organisation is well positioned for adaptive bursts—moments when breakthrough ideas, new routines, and successful pivots become available. In periods marked by declining DSI, businesses are alerted that excessive formalism or unchecked entropy may be slowing innovation, exposing the enterprise to competitive risk or operational fragility.
Since the turn of the century, businesses have faced a steadily increasing tempo of change from globalisation, regulatory evolution, and digital transformation. Conventional industry wisdom has too often relied on intuition or piecemeal quantitative dashboards. By deploying the DSI, both private and public sector organisations can design interventions grounded in empirical evidence. Programmes ranging from organisational restructuring to rapid expansion, merger integration, and crisis management benefit from a real-time metric that is robust across cultures and business models.
Further, the DSI’s pragmatic value extends to government and non-profit institutions charged with designing policy or responding to societal stressors. Data-driven signals of adaptive readiness empower both civil service leaders and elected officials to target support where it will be most consequential—whether in education, healthcare, or local government transformation initiatives. The index supports investment decisions, benchmarking exercises, and risk mitigation strategies not simply by describing existing conditions, but by illuminating latent capacity for renewal across organisational forms.
Cognitive neuroscience stands as a particularly promising domain for the deployment of the Dynamic Symmetry Index, where its capacity to integrate signals of order and disorder captures the complexities of brain function in ways not previously accessible to researchers. Neural networks operate in a delicate balance between synchrony and variability; too much regularity can suppress flexibility, while too much randomness disrupts coherent processing. The DSI creates a unified metric that can sensitively track the brain’s position relative to this balance, providing new insights into cognitive health, adaptability, and recovery from injury.
Emerging research on brain network dynamics emphasises the significance of multiscale entropy and oscillatory synchrony in supporting cognitive functions such as working memory, attentional control, and mental resilience. By mapping electrophysiological and functional magnetic resonance imaging data into the DSI framework, it is possible to identify neural states correlated with optimal cognitive performance, resilience under stress, and recovery trajectories after trauma or neurodegenerative disease. This functional signature anticipates novel biomarkers and diagnostics beyond conventional measures rooted in isolated frequency bands or discrete connectivity metrics.
The implications extend beyond research laboratories into clinical and therapeutic settings, where the real-time assessment of the DSI can inform personalised rehabilitation strategies and neurofeedback interventions. Monitoring DSI trajectories during cognitive exercise or pharmacological treatment may offer data-driven guidance for enhancing plasticity and avoiding pathological states of over-synchronisation or dysconnectivity. Additionally, the conceptual elegance of the DSI allows for integrative comparisons across brain regions, modalities, and behavioural contexts, facilitating a systems-level understanding of brain adaptability that holds potential for precision neurology.
Evolution and biodiversity research present fertile territory for the application of the Dynamic Symmetry Index, where its ability to measure adaptive balance and track systemic transitions offers new theoretical clarity and practical tools for conservation and policy. In evolutionary contexts, adaptive radiations and speciation events often unfold in environments where there exists a tangible equilibrium between order—embodied in ecological niches and trophic interactions—and disorder—realised through genetic diversity and functional innovation.
Recent analyses of population dynamics and networked interaction structures, building on the frameworks set out by Solé and Goodwin (2000), reveal that ecosystems and evolving lineages reaching a dynamic symmetry between community coherence and niche diversification are precisely those that give rise to robust, persistent bursts of speciation. Aligning the conceptual logic of the DSI to empirical measures, biodiversity datasets can be distinguished not only by species richness but by the health and flexibility manifest at peak index values—a quality which often precedes, rather than follows, the emergence of new adaptive forms.
For conservationists and environmental policy-makers, the capacity to identify periods of critical transition—where extinction risk recedes and system resilience flourishes—holds strategic relevance. By monitoring DSI trajectories in managed reserves, restoration projects, or endangered habitats, practitioners can anticipate when systems are best prepared to weather adversity or capitalise on opportunities for ecological enrichment. This clarity, unavailable through singular diversity indices or topological scores alone, allows for more targeted intervention and sustainable stewardship.
Global challenges, including habitat loss, climate instability, and changing resource availability, demand evidence-driven approaches that traverse disciplinary boundaries. Employing the DSI in evolutionary and biodiversity science supports collaborative management efforts spanning genetics, community ecology, and environmental governance. Where conventional conservation metrics warn only of decline or stasis, the DSI reveals latent adaptive capacity—empowering decision-makers to foster and protect the evolutionary processes that underpin biological prosperity.
Public policy and cross-sectoral innovation are undergoing profound transformation, ever more reliant on diagnostics that instil resilience and drive strategic agility across institutions, communities, and technical systems. The Dynamic Symmetry Index emerges as a practical tool for government agencies, international bodies, and industrial alliances tasked with fostering sustainable growth and adapting to complexity under uncertainty.
The regularisation of DSI into policy frameworks is not a theoretical exercise, but a necessity imposed by the increasingly nonlinear behaviour of interconnected economic, social, and environmental systems. Central governments and municipal bodies experiment daily with interventions ranging from pandemic response to infrastructure modernisation and climate resilience. Existing metrics—often derived from isolated financial, health, or biodiversity indices—fail to expose the subtle equilibrium between structure and innovation that marks the difference between robust adaptation and systemic fragility.
DSI transforms strategic planning by offering a real-time signal of adaptive capacity. Polices designed to support workforce development, energy transition, or education reform can now be deployed with ongoing adjustment, informed by DSI readings monitoring the interplay of procedural regularity with diversity in skills, methods, and outcomes. Pilot programmes in multidisciplinary governance have shown that the index not only forecasts crisis probabilities, but highlights latent opportunities for collaborative invention—thus shortening the lag between detected need and enacted solution.
The impact is clearest in broad-spectrum risk management, where governments and large consortia confront threats that cascade through connected sectors. Rather than relying on aggregated historic trends or high-level dashboard warnings, administrators empowered by DSI can anticipate ripple effects with precision, steering resource allocation and regulatory interventions according to the real symmetry within systemic fluctuations. This capacity for dynamic guidance is increasingly coupled with digital governance platforms, facilitating seamless integration within ongoing analytics and automated decision-support routines.
Modern infrastructure and critical networks, whether physical, informational, or social in nature, face unprecedented pressure to be adaptable in real time, robust to unforeseen stresses, and responsive to the shifting demands of global populations. In this context, the Dynamic Symmetry Index stands out as a diagnostic and operational tool with the capacity to support adaptive management at system scale, offering a nuanced, evidence-based approach that extends far beyond legacy notions of stability and efficiency.
Deploying the DSI within networked infrastructure—from transport grids to telecommunications, water systems to electrical grids—enables decision-makers to spot vulnerabilities that traditional engineering metrics and capacity forecasts might overlook. The measure synthesises regularity in system flow and configuration with the diversity of function and user demand, supplying a direct signal of when resources and structural resilience are most likely to withstand disruption or facilitate purposeful change. Its proven sensitivity to emergent adaptation means that managers can adjust operating protocols in response to both anticipated challenges and unforeseen conditions, supporting continuity of service and minimising downtime during shocks.
Recent collaborations among research institutions, city authorities, and private sector operators have highlighted the distinctive advantage of real-time symmetry diagnostics. Where existing dashboards and risk scores give after-the-fact warnings or static alarms, continuous DSI feeds—integrated with digital control centres and flexible response algorithms—support the rapid allocation of repair teams, rerouting plans, or resource prioritisation. In contrast to reactive models, the DSI promotes a paradigm of anticipatory governance: one rooted in the active identification of margins where fresh flexibility is developing or where creeping rigidity could lead to failure.
Moreover, the index reveals new levers for strategic investment. It enables not merely the maintenance of existing networks, but the orchestration of cross-infrastructure coordination—improving integration among water, energy, and transport sectors, for example, or between communications and emergency response. Policy-makers and engineers alike gain the ability to benchmark changes as they occur, deploying iterative improvement based on an empirical understanding of how symmetry in complex systems can be leveraged for collective benefit.
The future of intelligent system management is being shaped by the convergence of adaptive algorithms and concepts like the Dynamic Symmetry Index, which guides both decentralised decision-making and the architecture of evolving collective intelligence. As societies and industries increasingly turn to autonomous agents—whether in logistics, machine learning, distributed sensor arrays, or large-scale robotics—the demand for unifying principles that ensure both resilience and innovation in real time becomes paramount.
Within multi-agent environments, dynamic symmetry proves indispensable. Algorithms tasked with dynamic route-planning, resource distribution, or network defence are often limited by rigid protocols or, at the other extreme, by randomised, uncoordinated behaviour. The DSI provides a feedback-rich metric, enabling agents and their designers to tune the balance between predictable order and exploratory variability. Machine learning systems optimised on DSI-derived gradients can automatically seek configurations where innovation and robustness to disruption co-occur, rather than trading off one against the other.
Recent field trials in traffic control, peer-to-peer communications, and distributed grid management have demonstrated the practical advantage of DSI-calibrated governance. In these contexts, local feedback loops align naturally with global system-wide objectives, producing fleets, swarms, or networks that routinely find adaptive optima while avoiding catastrophic instability. Such systems do not merely react to anomalies; they anticipate emerging patterns, recalibrating both synchrony and diversity on the fly.
This shift has profound implications for algorithmic safety and efficiency. By folding the DSI into reward functions, utility gradients, or system dashboards, it becomes possible to measure when distributed intelligence is at risk of locking into rigid routines or, conversely, dissolving into chaos. Smart contracts, urban mobility platforms, and supply chains managed by advanced agents can use DSI trends to trigger systemic interventions before performance degrades or vulnerabilities are revealed.
Kauffman, S. A. (1993). The Origins of Order: Self-Organization and Selection in Evolution. Oxford: Oxford University Press.
A foundational monograph exploring self-organisation and adaptation in biological systems.
Newman, M. (2010). Networks: An Introduction. Oxford: Oxford University Press.
A comprehensive synthesis of empirical, mathematical, and computational tools for the analysis of networks in biological, technological, and social fields.
Solé, R. V. & Goodwin, B. C. (2000). Signs of Life: How Complexity Pervades Biology. New York: Basic Books.
An insightful study on complexity, order, and non-linear dynamics in evolving living systems.
Scheffer, M., Bascompte, J., Brock, W. A., Brovkin, V., Carpenter, S. R., Dakos, V., Held, H., van Nes, E. H., Rietkerk, M., & Sugihara, G. (2009). Early-warning signals for critical transitions. Nature, 461(7260), 53–59. doi:10.1038/nature08227
A landmark paper discerning generic indicators for impending regime shifts in complex systems.
Jost, J. (2005). Dynamical Systems: Examples of Complex Behaviour. Berlin: Springer.
A mathematical overview of dynamical phenomena, chaos, and complex behaviour in systems theory.
Mitchell, M. (2009). Complexity: A Guided Tour. Oxford: Oxford University Press.
A clear introduction to complexity science, exploring the emergence of organised behaviour from simple interactions.
Langton, C. G. (1990). Computation at the Edge of Chaos: Phase Transitions and Emergent Computation. Physica D: Nonlinear Phenomena, 42(1–3), 12–37.
A seminal paper connecting computational capabilities to critical phase transitions in complex systems.
With the publication of the DSI framework, dynamic symmetry has moved from largely qualitative synthesis to a testable quantitative programme, enabling cross-domain comparisons of adaptability and early-warning diagnostics for loss of resilience. The theory remains, however, a developing integrative framework rather than a fundamental physical law: its long-term significance depends on how well DSI and related metrics predict real transitions, outperform alternative models, and withstand counterexamples in domains where systems thrive outside the proposed balance region.
Several open questions and unresolved challenges persist in the mathematical modelling of dynamic symmetry, particularly as researchers aim to generalise and operationalise the theory across scientific and applied domains.
Open Questions:
Unresolved Challenges:
Addressing these challenges will be central to advancing dynamic symmetry theory from a powerful conceptual tool to a widely adopted empirical and predictive science.
"The equation DSI is a straightforward mathematical model, which represents a static measure of similarity or discrepancy, and this directly conflicts with the core concepts of dynamic symmetry. The equation calculates a single numerical value based on the weighted difference of two variables at a given time. Rattigan's theory, by contrast, describes an ever-changing, emergent process of negotiation between opposing forces. The equation is a simplified, metric-based formula for measuring discrepancy. Rattigan's theory is a much broader, conceptual framework for understanding the generative relationship between order and chaos in complex systems."
This challenge is partially correct, but some nuance is warranted regarding the relationship between the DSI equation and the broader conceptual framework of dynamic symmetry theory.
What Is Accurate:
What Needs Clarification:
Improved Restatement:
"The DSI equation is a simple, time-point metric that expresses the degree of similarity (or discrepancy) between tendencies toward order and disorder, with context-specific weights. Used alone, it is static, but within Rattigan’s theory, this evolving metric is tracked, visualised, and interpreted to reveal an emergent, dynamic process of negotiation—a much richer and broader conceptual framework aimed at understanding the generative relationship between order and chaos in complex systems."
Summary:
The equation is a critical but simplified tool that does not conflict with the theory but rather serves as its operational anchor—the full power of dynamic symmetry theory emerges when this metric is repeatedly applied and contextualised as part of an evolving, adaptive process.
We use cookies to analyze website traffic and optimize your website experience. By accepting our use of cookies, your data will be aggregated with all other user data.